• AVITECH Research Group

  • Chương trình mô phỏng

    Github

    Kỹ thuật mã mạng

    Network coding (NC) is considered a breakthrough to improve throughput, robustness, and security of wireless networks. Although the theoretical aspects of NC have been extensively investigated, there have been only few experiments with pure NC schematics. This work presents an implementation of NC under a two-way relay model and extends it to two non-straightforward scenarios: […]

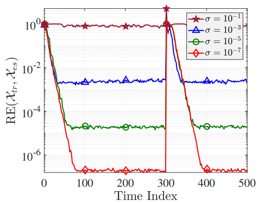
    ATT: Adaptive Algorithms for Tensor Train Decomposition of Streaming Tensors

    Tensor-train (TT) decomposition has been an efficient tool to find low order approximation of large-scale, high-order tensors. Existing TT decomposition algorithms are either of high computational complexity or operating in batch-mode, hence quite inefficient for (near) real-time processing. In this work, we propose a novel adaptive algorithm for TT decomposition of streaming tensors whose slices […]

    ROLCP: A fast randomized adaptive CP decomposition for streaming tensors

    We introduce a fast adaptive algorithm for CANDECOMP/PARAFAC decomposition of streaming three-way tensors using randomized sketching techniques. By leveraging randomized least-squares regression and approximating matrix multiplication, we propose an efficient first-order estimator to minimize an exponentially weighted recursive least-squares cost function. Our algorithm is fast, requiring a low computational complexity and memory storage. Fig: Streaming […]

    PETRELS-ADMM: Robust Subspace Tracking with Missing Data and Outliers

    We propose a novel algorithm called PETRELS-ADMM to deal with subspace tracking in the presence of outliers and missing data. The proposed approach consists of two main stages: outlier rejection and subspace estimation. Particularly, we first use the ADMM solver for detecting outliers living in the measurement data in an efficient online way and then […]